While researching my last post about leptin resistance, I stumbled across an excellent study that looked to see how physical activity affects calorie intake and a person’s bodyweight. (PDF) This study found that up to a point, the brain will compensate for physical activity, adjusting calorie intake to make sure that a person’s bodyweight is at an established set point. However, if physical activity goes too low, then a person’s brain can no longer control calorie intake, leading to massive overeating and excess bodyweight.
To me, this is amazing (and obvious) information because it adds another cause for obesity: If you are overweight, not only do you need to look into reducing leptin resistance (1) or chronic stress, (2) but also inactivity.
This understanding also means that even if a person has the healthiest diet in the world (e.g., Paleo, ancestral, traditional), their inactivity can actually prevent them from losing all of their extra bodyweight.
About the Study
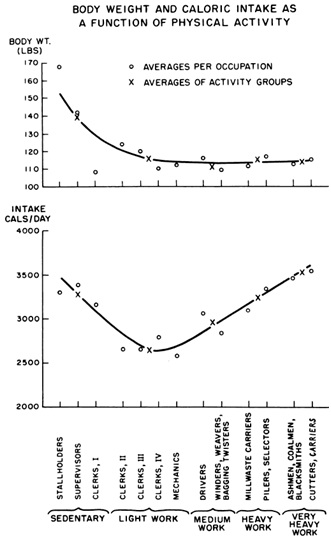
A study published in 1956 in The American Journal of Clinical Nutrition looked to see how physical activity affects calorie intake. The researchers selected 213 healthy male laborers from a mill in India who were all roughly the same height. All men were from India.Based on their occupation, all of the subjects were placed into one of five activity groups: Inactive, light work, medium work, heavy work, and very heavy work. Each of the men engaged in one of 16 occupations, each of which required different levels of physical activity.
- The Sedentary group included stall holders, supervisors, and clerks I.
- The Light Work group included clerks (II, III, and IV), and mechanics.
- The Medium Work group included drivers, winders, and weavers.
- The Heavy Work group included mill waste carriers, pliers, and selectors.
- The Very Heavy Work group included ashmen, coalmen, blacksmiths, cutters, and carriers.
Food intake was gathered by thorough and repeated food interviews. It was observed that all workers seemed to maintain similar diets that didn't change very much, making calorie estimates via interview (and verified by tracking bodyweight) fairly reliable.
And, since this study was completed in India in the 1950s, none of the subjects would be eating any of the modern foods that are associated with obesity (e.g., edible industrial oils [3], refined sugar [4], refined flour [5], processed foods[6]).
Physical activity was measured by observation, the level of physical fatigue typically experienced engaging in a given occupation, and previously-determined occupation oxygen consumption and carbon dioxide production data.
The Results
Increased Physical Activity Increases Calorie Intake. As expected, the more physically active a person, the more calories they consumed. What was also expected was that as calorie consumption increased to fuel extra physical activity, a person's body weight remained stable. This is a good example of the brain’s ability to adjust calorie intake to compensate for increased calorie expenditure while also ensuring that a person’s bodyweight set point is maintained. (7)
Inactivity Increases Calorie Intake. You would expect that those who were the least active would eat the least calories (something close to their basal metabolic rate), but that’s not what was observed in this study. As physical activity dropped below the “light work” category, calorie intake started to rise. And it didn't just rise a little: Those in the least active occupations were eating nearly as many calories as those in the most active occupations.
Since calorie intake is related to weight, the calorie surplus caused the bodyweight of the least active workers in the Sedentary group to increase. All occupations except for supervisors and stall workers were eating just enough calories to support their physical activity while also maintaining a stable and healthy bodyweight.
So, it seems that while the brain can accurately control calorie intake and bodyweight as long as there is a minimum amount of physical activity, it is not very good at regulating bodyweight and calorie consumption when physical activity drops below a certain point. Essentially, as a person ceases to become physically active, their calorie intake exceeds a person’s calorie requirements, causing their bodyweight to increase.
For instance, despite eating similar foods, inactive stall workers ate an average of almost 700 more calories every day than the lightly active mechanics. The stall workers were also heavier than the mechanics by almost 50 pounds!
Defining the Bare Minimum of Daily Physical Activity
What’s the least amount of physical activity that you have to engage in every day to allow your brain automatically control your bodyweight and calorie intake? Based on this study, as well as some other more recent research I've come across, (8) I would suggest any one of the following:
- Walk at least 6 miles a day, at a 3-4 mph.
- Run 20 minutes a day (7-minutes per mile pace), 5 days a week.
- Jog 40 minutes a day (10-minutes per mile pace), 5 days a week.
- Play some form of team sport for 45-60 minutes a day, 3-5 times a week.
- Lift moderately heavy weights for 45-60 minutes a day, 3-5 days a week.
Conclusion
This study shows that inactivity itself can cause people to eat much more than they need, while engaging in anything more than light physical activity allows a person to eat just enough calories to maintain their weight.
Being engaged in regular physical activity is likely one of the many reasons why traditional populations and contemporary hunter-gatherers don’t have much of a problem with obesity. (9) Their lack of modern conveniences forces them to get a minimum of physical activity every day.
Conversely, modern industrialized nations (like the US) are suffering from an obesity epidemic. These countries are replete with labor-saving processes and devices that allowed them to become less and less active over the last 110 years.
At the beginning of the 20th century, workers were coming out of farms and going into factories. Familiar conveniences like the car, dishwasher, clothes washer/dryer, and riding lawn mower made accomplishing daily chores nearly effortless. The combustion engine and electricity removed much of the labor necessary to do physically-demanding jobs and the desk job became more common, allowing more and more people to simply sit all day. Finally, more people were spending more time being stationary while watching television, using a computer, and playing video games.
Combine all this inactivity with the transition from fresh whole foods to highly-refined, highly-processed, chemical-laden pseudo foods and you have the basic recipe for the current obesity epidemic.


No comments:
Post a Comment